This is my research on using Federated ML technique to detect Unlicensed Training, it is publish at the pro
Article
Introduction Misskey uses ActivityPub protocal, which is also the protocal for Mastodon. But Bluesky does u
The Challenge of Model Validation Before diving into k-fold cross validation, it’s important to under
Systematic Approaches to Model Evaluation We need systematic ways to accomplish several key tasks in model
Understanding Latent Variables and Model Enhancement in Regression 1. Introduction to Latent Variables Late
# What could go wrong? – Heteroskedasticity – Multicollinearity – Latent variables # Usin
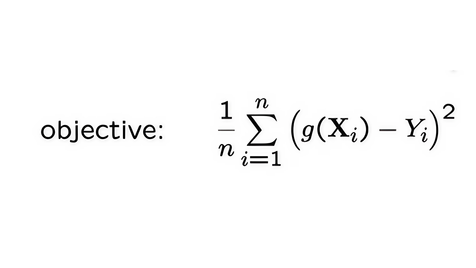
Model: $Y = \theta_0^* + \theta_1^* X_1 + \cdots + \theta_m^* X_m + \text{noise}$ We obtain estimate, $\hat
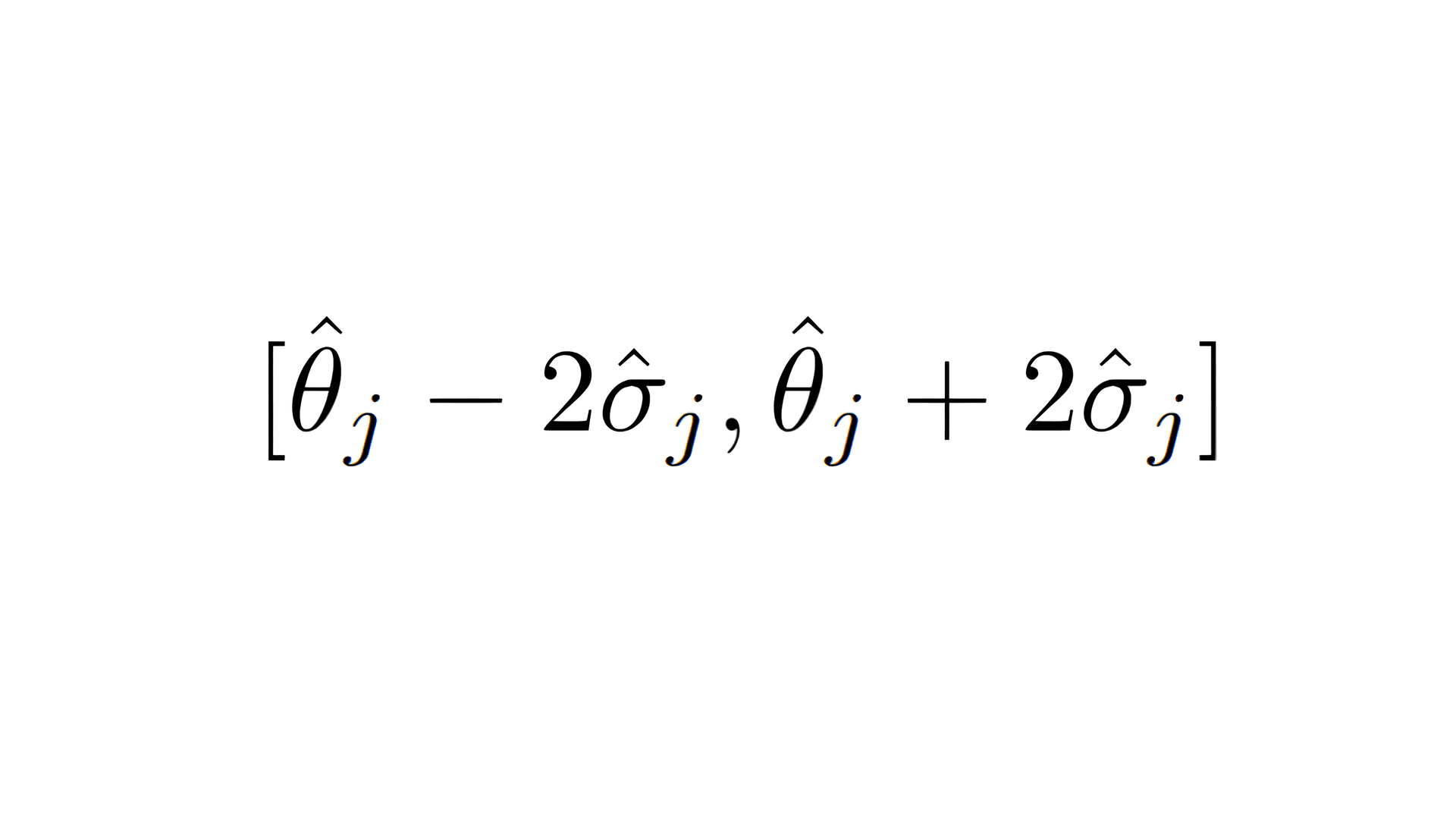
Key Concepts Distribution of estimator hat \hat{\theta} Standard error of an estimator and confidence inter
Notation Key Vectors: boldface Scalars: normal font X₂: second data record X₂: second component of dataset